Protein Chemistry Reactions

The following is a list of reactions found on proteinchemist.com. If you have suggestions for other reaction mechanisms which should be on here please Write Us which you would like to see; also if you have one you wish to contribute send them!

Ellman's Reagent

N-terminal sequencing

Dansylation

Tetranitromethane tyrosyl modification

Mercurial cysteine modification

N-ethylmaleimide cysteine modification

Cyanogen Bromide Met cleavage

Aspartyl/Asparaginyl Isomerization

Acetic anhydride modification of amines

Succinic anhydride modification of amines

Carbodiimide modification of carboxylates

p-hydroxyphenylglyoxal modification of arginine

BNPS-skatole cleavage of Trp

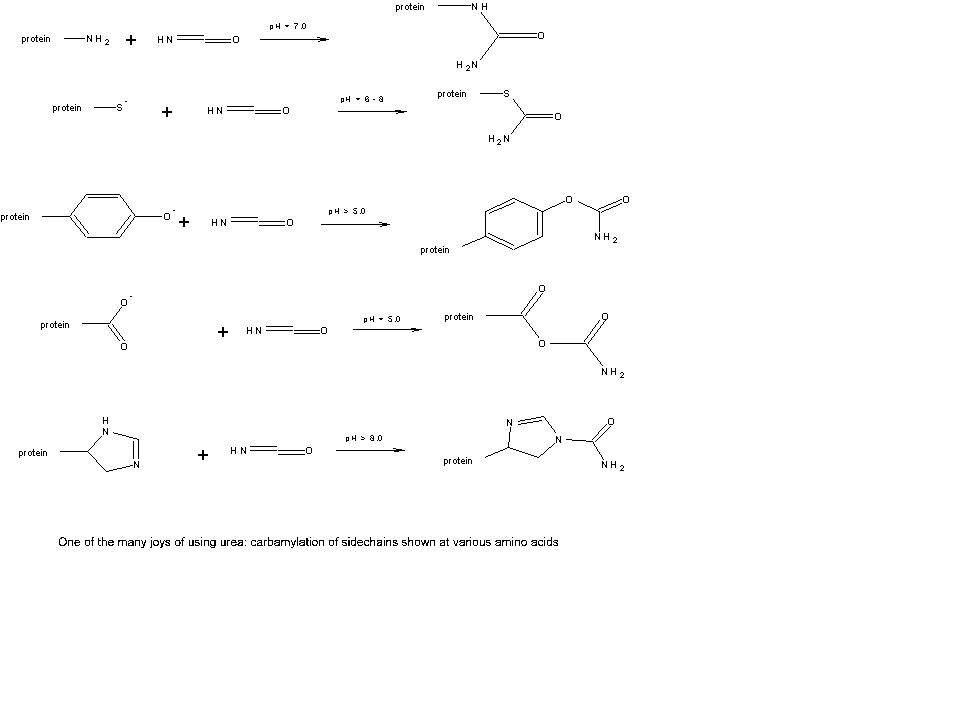
Carbamylation of sidechains by cyanate formed from e.g. urea

Histidine modification with DEPC